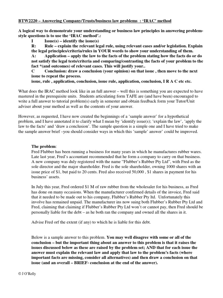
What Is Irac : Law And Set Theory In Order To Resolve / In this video we learn to use the irac method of legal reasoning, which is one of the key methods of legal reasoning used by law students and lawyers through.

What Is Irac : Law And Set Theory In Order To Resolve / In this video we learn to use the irac method of legal reasoning, which is one of the key methods of legal reasoning used by law students and lawyers through.. First, articulate an important legal issue or question; There are certain bases before that you need to clear. It is a function of the methodology used for legal analysis. The irac methodology is useful to help you organise your legal analysis so that the reader can follow your argument. All four detector arrays in the camera are 256 x 256 pixels in size, with the two short wavelength.

Ache is the enzyme that terminates the action of the excitatory neurotransmitter acetylcholine at nerve synapses. Issue, rule, analysis, and conclusion. Finally, conclude by explicitly answering the question or taking a. The irac methodology is useful to help you organise your legal analysis so that the reader can follow your argument. There are certain bases before that you need to clear.

Irac Method Example Essay In Mla
Irac Method Example Essay In Mla from i.pinimg.com
While issue stands for the legal issue (s) in a given set of facts, rules denote the laws regarding the legal issue. The rule or expected legal outcome. The irac methodology represents the following concepts of a legal problem: The irac model is used by law students and lawyers to help them more systematically analyze legal problems and hypotheticals. This video helps law and paralegal students understand the concept of irac. Irac is an abbreviation used for issue, rule, application, and conclusion. Laws include statutory laws as well as precedents. Insecticide resistance management is a global challenge, and irac is delivering strategic responses worldwide with localized as well as international initiatives.

Clearly define what it is, the parties involved, and provide sufficient background.

Even undergraduate business law students find it useful both in analyzing problems, demonstrating their legal reasoning skills, and organizing answers to essay questions on exams. Ache is the enzyme that terminates the action of the excitatory neurotransmitter acetylcholine at nerve synapses. Irac is an abbreviation for i ssue, r ule, a pplication, and c onclusion. The beauty of irac is that it allows you to reduce the complexities of the law to a simple equation. While issue stands for the legal issue (s) in a given set of facts, rules denote the laws regarding the legal issue. While this system may seem rigid, there is some room for flexibility which is sometimes needed in order to produce a readable answer. The irac method is a framework for organizing your answer to a business law essay question. Facts* write a brief summary of the facts as the court found them to be. The irac methodology is useful to help you organise your legal analysis so that the reader can follow your argument. While this system may seem rigid, there is some room for flexibility which is sometimes needed in order to produce a readable answer. Whether they call it irac (issue, rule, application, conclusion), crac (conclusion, rule, application, conclusion), or creac (conclusion, rule, explanation, application, conclusion), all lawyers write in the same way: Issue, rule, application, and conclusion. Explore local country groups via the map.

This format is mostly used in bar exams and law schools to solve hypothetical questions. But, one cannot jump straight to the climax, right? The irac methodology represents the following concepts of a legal problem: While this system may seem rigid, there is some room for flexibility which is sometimes needed in order to produce a readable answer. The irac is a four part writing method consisting of an issue section, rule section, application section, and conclusion section.

Insecticide Resistance Action Committee Irac
Insecticide Resistance Action Committee Irac from irac-online.org
What does irac stand for? It is a function of the methodology used for legal analysis. Insecticide resistance management is a global challenge, and irac is delivering strategic responses worldwide with localized as well as international initiatives. Irac is an abbreviation used for issue, rule, application, and conclusion. Kornblum, j.d., milwaukee area technical college (matc) Next, state and explain the relevant legal rule; This is an essential first step in the process and is a precursor to following the irac model. For example, a business's street address is probably not relevant to the court's decision of the issue of whether the business that sold a

Irac is an abbreviation for i ssue, r ule, a pplication, and c onclusion.

What does irac stand for? But, one cannot jump straight to the climax, right? The acronym irac stands for issue, rule, application, and conclusion. Irac is the acronym for issue, rule, application, conclusion. Some professors prefer variations of the irac format. Whether they call it irac (issue, rule, application, conclusion), crac (conclusion, rule, application, conclusion), or creac (conclusion, rule, explanation, application, conclusion), all lawyers write in the same way: Irac is the acronym for issue, rules, application (analysis), and conclusion. Facts* write a brief summary of the facts as the court found them to be. The rule or expected legal outcome. Kornblum, j.d., milwaukee area technical college (matc) It functions as a methodology for legal analysis. The irac classification is intended to cover all materials, chemical, biological or other, that are used to control insects or acarines on crops, in structures or in the environment. The irac mode of action classification online the definitive, global scheme on the target sites of acaricides and insecticides.

Method for organizing legal analysis so that the reader can follow your argument especially helpful in writing exams (irac) and legal memos (crac). The rule or expected legal outcome. Laws include statutory laws as well as precedents. Insecticide resistance management is a global challenge, and irac is delivering strategic responses worldwide with localized as well as international initiatives. Clearly define what it is, the parties involved, and provide sufficient background.

Http Digitalcommons Law Wne Edu Cgi Viewcontent Cgi Article 1117 Context Facschol
Http Digitalcommons Law Wne Edu Cgi Viewcontent Cgi Article 1117 Context Facschol from
Irac is an abbreviation for i ssue, r ule, a pplication, and c onclusion. Using this simple framework for structuring your answer will ensure that you have written a complete answer. Crac (conclusion, rule, application, conclusion) or creac (conclusion, rule, explanation, application, conclusion) are other forms of irac, but the elements are the same. It is a function of the methodology used for legal analysis. The mirat model starts with material facts. Some professors prefer variations of the irac format. Laws include statutory laws as well as precedents. By laying out the issue to be discussed, the legal rule relevant to the issue, the analysis of the pertinent facts based on that rule, and the overall conclusion reached.

While this system may seem rigid, there is some room for flexibility which is sometimes needed in order to produce a readable answer.

This video helps law and paralegal students understand the concept of irac. Irac (issue, rule, analysis, and conclusion) forms the fundamental building blocks of legal analysis.it is the process by which all lawyers think about any legal problem. Application stands for interpretation of the facts in the light of law. The irac methodology is useful to help you organise your legal analysis so that the reader can follow your argument. (sometimes the a is referred to as the answer, but the content remains the same.) Irac is an abbreviation for i ssue, r ule, a pplication, and c onclusion. Facts* write a brief summary of the facts as the court found them to be. In reality, the irac structure permeates other forms of legal writing as well such as court opinions and case briefs. A method used in composing certain legal documents and reports. These words represent the stages of the most commonly accepted way to organize a written legal analysis: The pixel size is 1.22 arcsec in all bands. Irac is an abbreviation used for issue, rule, application, and conclusion. The irac mode of action classification online the definitive, global scheme on the target sites of acaricides and insecticides.

Posting Komentar

Lebih baru Lebih lama